吃鸡武器简笔画:m416-罗小黑,马克笔也能画得很像的

高清图片下载 免费 安全无风险
吃鸡武器简笔画:m416-罗小黑,马克笔也能画得很像的

吃鸡武器简笔画:m416-罗小黑,马克笔也能画得很像的

点击图片查看原图

图片信息

  • 格式: JPG
  • 尺寸: 1280x720
  • 大小: 约1.2MB

版权声明

相关标签

自然风光 高清壁纸 4K画质

分享图片

相关推荐

基于当前图片的相似推荐

绝地求生m4简笔画分解步骤

吃鸡可爱武器皮肤简笔画m416滑板小狐你们期待已久的m4来啦

如何画一辆sherman m4a3e8.#狂怒 #谢尔曼 # - 抖音

和平精英军备库枪械手绘全解析性能均衡的m416突击步枪

营造立体感,还要注意在m416的细节部分加阴影,并用画两个不同方向的

【手绘小峰】30倍速m4-16钢笔速写

绝地求生m416简笔画画

今天画了辆谢尔曼m4e3,画得不是特别好.#日常瞎画 #乱涂 - 抖音

随机推荐

发现更多精彩图片

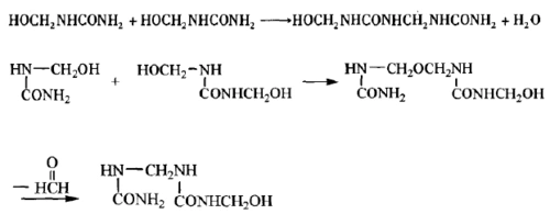
脲醛树脂的合成与应用

粉色格子可爱手绘少女心壁纸源自vb:是洋桃喔二转注明原出处

地漏全铜卫生间淋浴房厕所下水道阳台大排量隐形方地漏

假面骑士时王:不管未来怎么改变,庄吾都注定成为逢魔时王

长沙地铁4号线初步设计审议通过 或年内开工

34年级图片速写写生转经筒

健康小贴士矢量png素材透明免抠图片-卡通手绘

改革开放四十周年·记录深圳光影

普贤菩萨本命佛是属蛇属龙的守护神

《火影忍者》中10大公认的天才忍者,没几个好下场!