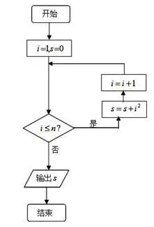
c语言求一个数是不是素数c语言编写一个程序判断一个数是否为素数急求

高清图片下载 免费 安全无风险
c语言求一个数是不是素数c语言编写一个程序判断一个数是否为素数急求

c语言求一个数是不是素数c语言编写一个程序判断一个数是否为素数急求

点击图片查看原图

图片信息

  • 格式: JPG
  • 尺寸: 600x500
  • 大小: 约1.2MB

版权声明

相关标签

自然风光 高清壁纸 4K画质

分享图片

相关推荐

基于当前图片的相似推荐

用java打印素数并输出 - 程序员大本营

流程图求解:输出1~100的素数

用传统流程图表示求解以下问题的算法有两个瓶子a和b,分别盛放醋和

系统设计41. 题目的基本内容 42. 程序流程图

流程图素数(c语言1000以内素数流程图)

求m到n的素数及它们的和,让m递增到n,遇到素数就把它加到sum里,流程图

c语言求给定范围内的所有素数

流程图ns图伪代码分别描述解决如下实际问题的算法将100200之间的素数

下面是李林同学编写的"求100以内的素数"的vb程序,但该程序有3处错误

随机推荐

发现更多精彩图片

动漫女生头像可爱呆萌好看图片

让温暖从背后慢慢包围过来王俊凯的背影可以做到

纯手工制作豆腐(家乡的味道)

▼室内空间,围绕中庭布置

又一个青砖大院落你是否喜欢

泰国美女天花板被封为泰国第一神颜的mai

扭蛋图片免费下载-扭蛋素材-万素网

四,乳房自检镜子前检查:站在镜子前,双手垂下,看看乳房外观是否正常

银子岩,桂林银子岩攻略/地址/图片/门票【携程攻略】