室内墙壁窗户造型做旧铁艺假窗装饰带镜子复e古挂件餐厅挂饰家饰

高清图片下载 免费 安全无风险
室内墙壁窗户造型做旧铁艺假窗装饰带镜子复e古挂件餐厅挂饰家饰

室内墙壁窗户造型做旧铁艺假窗装饰带镜子复e古挂件餐厅挂饰家饰

点击图片查看原图

图片信息

  • 格式: JPG
  • 尺寸: 326x400
  • 大小: 约1.2MB

版权声明

相关标签

自然风光 高清壁纸 4K画质

分享图片

相关推荐

基于当前图片的相似推荐

假窗户壁挂 欧式假窗户装饰仿真地中海风格百叶窗木质窗户餐厅墙面

假窗户壁挂 欧式假窗户装饰仿真地中海风格百叶窗木质窗户餐厅墙面

窗套安装效果图,你喜欢什么造型的 - 抖音

假窗户装饰镜子仿真餐客厅壁饰创意装饰挂件背景墙面铁艺墙壁挂饰

淘宝¥42折后价¥38欧式复古现代时尚窗户房子造型黑板留言板壁饰壁挂

美式复古壁挂墙上挂墙镜假窗户圆弧壁饰玄关穿衣镜

法式复古实木假窗户镜子做旧仿真墙镜民宿壁饰家用客厅玄关挂镜子

儿童房间创意假窗户仿真黑板奶茶店墙面装饰品墙上墙壁挂件小壁挂

80小绘秋工作室淘宝假窗户装饰仿真假窗户框服装店墙上民宿家具茶水

假窗户装饰墙上仿真木质美式墙饰民宿复古网红创意民宿壁饰挂墙饰

随机推荐

发现更多精彩图片

魏大勋潮流时尚风格写真

原创说说女人抽烟的现象

磨砂玻璃模糊背景高清图片 - 素材中国16素材网

lastchristmas吉他谱去年圣诞弹唱谱whamtaylor版本

巴斯马蒂大米1kg 巴基斯坦米 进口新米长粒香米

风扇配件 电风扇弯头 落地扇/台扇/壁扇连接头 鹅颈

各种各样的彩色纱笼出售在当地市场巴厘岛乌布印度尼西亚特写

1,f16c用的通用电气公司的f100pw229和f110ge129发动机f22目前采用

低调又高雅的微信头像,30一40岁女人微信头像

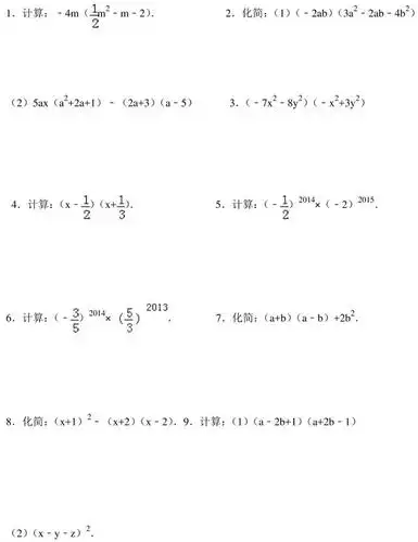
初中数学基础运算题100练(整式的加减乘除,幂运算,因式分解)

全职法师第六季:莫凡身边的人每一位都不简单,特别是冷灵灵