工具/原料 喷枪,气泵. 油漆或者清水 方法/步骤 1 一般常调整这个.

高清图片下载 免费 安全无风险
工具/原料 喷枪,气泵. 油漆或者清水 方法/步骤 1 一般常调整这个.

工具/原料 喷枪,气泵. 油漆或者清水 方法/步骤 1 一般常调整这个.

点击图片查看原图

图片信息

  • 格式: JPG
  • 尺寸: 500x519
  • 大小: 约1.2MB

版权声明

相关标签

自然风光 高清壁纸 4K画质

分享图片

相关推荐

基于当前图片的相似推荐

喷枪wr711气动油漆喷漆枪高雾化汽车面漆家具喷涂工具壶r771下壶30

原装进口岩田w-77上下壶油漆喷枪高雾化家具木器汽车喷漆枪

喷漆抢木漆油漆喷抢w-71汽车油漆喷枪喷漆上壶家具气动工具高雾化涂料

枪尾精密压力表喷漆过滤器调压阀调节气压调节表喷枪喷漆枪气压表

生活/家居 > 生活常识2 通过压缩空气使涂层雾化成小的油漆滴,在空气

高雾化f75喷漆枪气动乳胶漆喷涂机油漆汽车喷漆工具涂料喷漆壶喷抢

0saka大阪k-31喷油枪气动喷漆枪k3小型补漆喷枪口径0.5 圆嘴

喷漆枪的最佳调节雾化怎么实现

二牛气动喷漆枪喷枪汽车钣金家具补漆工具油漆喷壶涂料乳胶漆喷漆工具

官方w71c日本喷枪家具汽车面漆上壶下壶气动喷漆枪15口径下壶式含喷壶

汽车喷漆枪 调压表 气压调节阀 枪尾压力表 稳压表 喷枪通用枪尾压力

喷漆枪上下壶气动工具喷壶家具汽车油漆枪家用喷涂真石漆喷枪jd201815

随机推荐

发现更多精彩图片

网格网格图纸毫米纸背景

the9和硬糖少女303哪个团的平均颜值更高

《江山助我一挥毫》---杨启宇诗词专辑(八十五)

快讯青海玉树州玉树市发生37级地震

叶罗丽:白光莹和黑香菱终于升级契约,光暗和花语宝杖,双双亮相

可爱女孩子优秀点赞动图gif

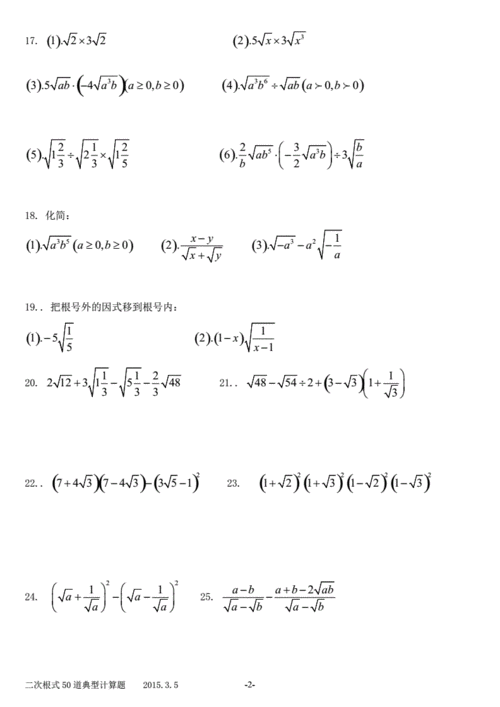
初中数学二次根式50道典型计算题.doc

【干货】专四语法精解(二)

天然真石漆理石灰外墙装修材料样板效果图副本

头层彩色纳帕纹牛皮皮料批发 平纹软面真皮牛皮 纳帕平纹皮

实木红苹果摆件家居饰品木雕金丝楠木檀木木质平安果摆件

致敬悠闲惬意的美好时光,画师sin jong hun风景作品欣赏.