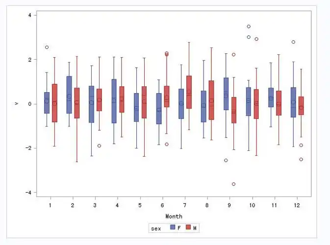
利用spss箱线图与z分数法判别异常值的比较

高清图片下载 免费 安全无风险
利用spss箱线图与z分数法判别异常值的比较

利用spss箱线图与z分数法判别异常值的比较

点击图片查看原图

图片信息

  • 格式: JPG
  • 尺寸: 380x264
  • 大小: 约1.2MB

版权声明

相关标签

自然风光 高清壁纸 4K画质

分享图片

相关推荐

基于当前图片的相似推荐

spss统计作图教程:成组箱线图 - spss绘制线图 - 实验室设备网

3-6:4 组的箱线图显示了组间的显著差异

spss箱式图解决——【杏花开医学统计】_手机搜狐网

用spss软件做探索性分析出现箱线图是图形上带圆点的数据表示的是什么

请问这个图如何用r做箱线图以均值和标准误标准差的形式表示多个组合

【r语言】箱线图统计检验线段长度

spss箱形图怎么做spss怎么去除异常值

spss计算结果紧急求助

如何使用ibmspssstatistics来绘制箱线图

随机推荐

发现更多精彩图片

吴亦凡新恋情疑曝光 视频中的声音是吴亦凡本人吗

曹全碑集字书法春联带横批30副

高雅拉与宋承宪的这些照片则充满了甜蜜,而且去的场合多种多样

绝地枪王2点击破四亿顺拍手法考究吸引人

滑稽表情情侣头像高清滑稽表情情侣头像

中国最长的北京地铁10号线

经典中国故事绘本:白蛇传

【盘点】李连杰五部经典动作片,部部经典之作,于荣光反派最出彩_哔哩

【阳阳原创】chapter 50 白发红衣帅伯

本站首晒#asus 华硕 rog 玩家国度 gl703vm 美版 笔记本电脑 简单

1:18大号gt500野马跑车蝰蛇仿真合金汽车模型车摆件儿童玩具礼物