箱线图又称为盒须图, 箱形图(box-plot)又称为盒须图,盒式图或箱线图

高清图片下载 免费 安全无风险
箱线图又称为盒须图, 箱形图(box-plot)又称为盒须图,盒式图或箱线图

箱线图又称为盒须图, 箱形图(box-plot)又称为盒须图,盒式图或箱线图

点击图片查看原图

图片信息

  • 格式: JPG
  • 尺寸: 1784x1280
  • 大小: 约1.2MB

版权声明

相关标签

自然风光 高清壁纸 4K画质

分享图片

相关推荐

基于当前图片的相似推荐

箱线图在异常值检测中的使用 由箱线图可以看出,除3班,8班,7班,10班外

快速识别异常值你可能需要箱线图分析

ggplot2箱线图绘制规范

r语言ggplot2 多线图绘制图例_r语言绘制箱线图示例

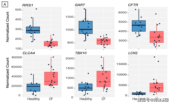
组间差异表达基因箱线图

教你画双分类变量的箱线图

r绘制箱线图详细过程(包括选择配色,整体和多组间显著性检验,多张图片

3-6:4 组的箱线图显示了组间的显著差异

figdraw6sci文章绘图之箱线图boxplot

箱线图快速绘制工具

随机推荐

发现更多精彩图片

情侣,背影,情侣背影,人物情侣坐姿背影图片 情侣,背影,情侣背影

二年级词语积累aabb之类doc4页

颜宁:把有挑战性的领域做到不再可怕

黄庭坚小楷《金刚般若波罗蜜经》

kata零食盲盒包装纸袋设计

这是烤鱼肚,嫩,滑,无刺,爽!

卡通男孩道歉弯腰鞠躬元素

资料图片:电视剧《猎鹰1949》精彩剧照(36)

关键词 : 卡通黑板,粉笔画,粉笔字

鹰钩鼻的女人面相好不好 鹰钩鼻的女人不能娶-善吉网