格力空调遥控器功能介绍

高清图片下载 免费 安全无风险
格力空调遥控器功能介绍

格力空调遥控器功能介绍

点击图片查看原图

图片信息

  • 格式: JPG
  • 尺寸: 707x792
  • 大小: 约1.2MB

版权声明

相关标签

自然风光 高清壁纸 4K画质

分享图片

相关推荐

基于当前图片的相似推荐

格力空调图标符号含义图解遥控器(海尔空调各种图标含义 符号) - 网络

小白空调使用手册之汽车空调按键你都认识吗

汽车空调功能这么多,都该怎么用? 车上有很多功能

开ac开冷风,打开外循环风量最大,吹挡风玻璃 灯亮是内循环 - 抖音

汽车ac键你会用吗|汽车空调|汽车内外循环 先解释一下

空调模式中的各种图案分别代表了什么意思?

空调这些"模式"不要乱用,好多人不懂,难怪"费电"还不舒服!

几何e萤火虫空调使用教程02

家人们,告诉你一个省电的方法,将空调温度设定刮26度,风速调到二档

将空调温度设定为 26 度,把风速调至二挡或者三档.接着,选择 e

把空调设置为26° 3.风速调至2档或者3档 4.模式选e模式或凉感模式 5.

格力空调开什么模式省电又凉快

随机推荐

发现更多精彩图片

乳牙,恒牙的名称,牙位,形态和正常萌出,换牙的时间 (转载)

许魏洲街拍明星风尚壁纸

《狼尾鲻鱼头假发男短发日系蓬松韩版帅气逼真男女通用cos男士 头套

苏美尔人长什么样子

文物写真 vol.008 | 西安61陕西历史博物馆 岁月轮转,一岁一礼.

🌸超萌卡通花朵壁纸来啦🌼

#高级感 #00后 #摄影 #啥也不是 #个人写真 - 抖音

华晨鑫源金杯小海狮x30正式上市 售3.89万元起 - 汽车纵横网

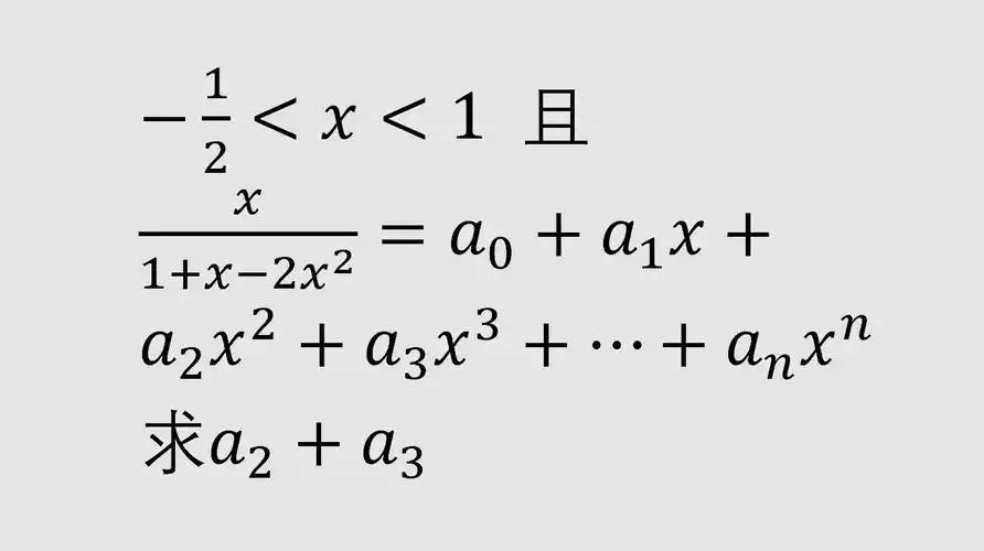
初中数学 偏难 求a2加a3得值 全班做对的寥寥无几

重回18岁5493毕业20周年同学聚会纪实

棒针编织菱形渔网图案花样,漂亮大方,织女士毛衣或开衫好看