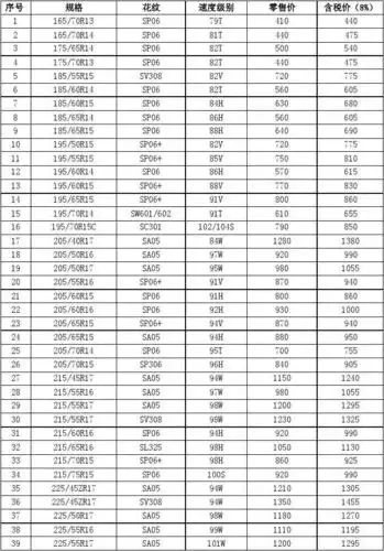
补胎50和30的区别是啥 2020补胎收费公开价

高清图片下载 免费 安全无风险
补胎50和30的区别是啥 2020补胎收费公开价

补胎50和30的区别是啥 2020补胎收费公开价

点击图片查看原图

图片信息

  • 格式: JPG
  • 尺寸: 600x778
  • 大小: 约1.2MB

版权声明

相关标签

自然风光 高清壁纸 4K画质

分享图片

相关推荐

基于当前图片的相似推荐

补胎价格表,你那边多少钱,快发来看看吧!#轮胎人平凡之路 # - 抖音

汽 i> i>车 /i> /i>店补胎价格表 i>海 /i> i>报 /i>

2011年科泰安科技自修补轮胎价格表

市场渠道 - 轮胎商业网

我觉得贵,就让维修师先把俩前胎换到后面,再途虎养车上下单轮胎279

但是据了解, 很多轮胎店的轮胎价格还是和几年前一样,没有特殊情况

但补胎确确实实是我们轮胎工最关键的收入来源之一.

江苏省宜兴市轮胎行业协会统一制发2017年1月1日起,实行新的补胎收费

6,由山西晋中市平遥县一店主提供5,银川一轮胎店主提供的价格表4,由

2019年补胎价格表已经出炉:这些年,白领工资涨了,包租婆的腰包更鼓了

洛阳市栾川县潭头镇一轮胎店的补胎价格表下面是小邦收集整理的各地

1,洛阳市栾川县潭头镇一轮胎店的补胎价格表下面是小邦收集整理的各地

随机推荐

发现更多精彩图片

成立69年份:1920年698215 hermes(爱马仕69)发源地69

原文配图:网友拍摄到的三亚亚龙湾海军基地.

而奶奶灰的低马尾温婉之余还是会显得有点古怪,不过

300_168gif 动态图 动图

十二星座女生头像狮子座

歌舞伎演员片冈爱之助被周刊杂志曝有私生子

2014年08月20日 - 外来工女人 - 知名网络女人

江浙地区又寻一游乐场宁波方特东方神画看跑男知道的

杭温高铁仙居段桥墩打桩施工现场

重游丽水松阳 美享云端觅境

致敬探路者章华妹中国第一个体户从地摊妹变身老总