[cu(…)2]2 (底下有)为什么有四个配位键? - 知乎

高清图片下载 免费 安全无风险
[cu(…)2]2 (底下有)为什么有四个配位键? - 知乎

[cu(…)2]2 (底下有)为什么有四个配位键? - 知乎

点击图片查看原图

图片信息

  • 格式: JPG
  • 尺寸: 1920x2560
  • 大小: 约1.2MB

版权声明

相关标签

自然风光 高清壁纸 4K画质

分享图片

相关推荐

基于当前图片的相似推荐

所有分类 高等教育 教育学 创新性科研思维的培养ppt 分子间氢键

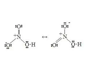
硝酸根 no3 : sp2 激发 pz 2p n 2p 2s 2 2s 3o: 2p4 pz 2s

有的话配位键是什么样子的呢?最好配张图,谢谢!

化学中的配位键配位键

求大神指点 大学化学配位键的题21题

硝酸根离子与羧酸根离子配位体

剩余四个氧原子分别通过配位键与四个磷原子相连(由磷原子提供一对

nh4 ,h3o ,cu(nh3)42 1.电子对给与-接受键被称为配位键参考答案9.

2019-04-23 04:34:18 硝酸中有一个羟基以西格马键与氮相

是不是电负性越大就是配位原子?求解啊!

配位键和配位化合物

随机推荐

发现更多精彩图片

帅气真人男生头像,男头,真人,帅气!

金色大波浪发型模特背部摄影图片

7位有中国血统的泰国男星,没少看他们的剧,其中一位出家了?

【手绘彩铅盲盒】泡泡玛dimoo向日葵附线稿 老规矩:完整绘画过程视频

2和5组合画小鸟,简单有趣学起来.

观鹏手写|茶话会95|平面|字体/字形|松鸟 - 原创作品 - 站酷 (zcool

僵尸福星僵尸福星官方剧照剧照图片

叶冰瑶#穿越西元3000后 #飒漫画 #小小作文 很多事 - 抖音

原创缅因猫的狂野和不羁是从灵魂中散发出来的这可能就叫王者气质吧

治疗老年尿频,尿不尽的特效穴

福特汽车,2017 f-150 raptor,蓝色,汽车壁纸,照片,下载