链式法则

高清图片下载 免费 安全无风险
链式法则

链式法则

点击图片查看原图

图片信息

  • 格式: JPG
  • 尺寸: 1295x975
  • 大小: 约1.2MB

版权声明

相关标签

自然风光 高清壁纸 4K画质

分享图片

相关推荐

基于当前图片的相似推荐

2.2 复合函数的导数的链式法则http://zh.wikipedia.

深度学习之美22bp算法详解之链式法则

深度学习之美22bp算法详解之链式法则

深度学习数学基础之链式法则 - 知乎

求复合函数偏导数的链式法则解ppt

高数课件22复合函数求导法则ppt 高等数学同济第六版课件 一,链式法则

1 链式法则与梯度弥散下图是一个简单的神经网络图,由输入层,隐含层

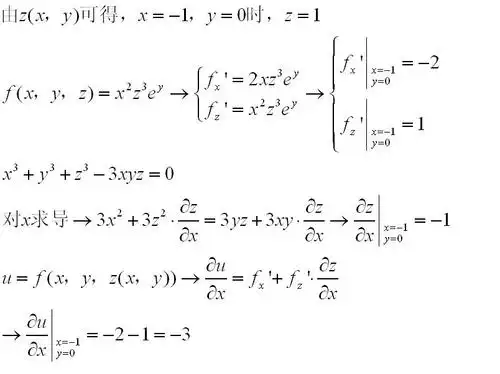
展开全部 2,先确定x,y为自变量 再利用链式法则求各偏导数的值 结果=

1,本题的求导方法是:运用复合函数的链式求导法则; 2,先得到偏导数,再

随机推荐

发现更多精彩图片

狮子王电影台词截图壁纸 hakuna matata,无忧无虑

唯美设计蝴蝶图腾矢量素材

唯美清新插画动漫少女

《如果可以这样爱》祁树杰和叶莎什么关系?原来原著中另有隐情

虾 河虾 小河虾 河鲜 小虾米 水产品 生的 新鲜的 待加工的 待烹饪的

那田蜘蛛山の母蜘蛛|アムズカ的鬼灭之刃壁纸插画图片

手作乐趣|迷你手工制作厨具教程大揭秘!

收藏级珍品~缅甸天然翡翠a货大件厚装三彩飘花普贤菩萨吊坠48.31g

兰蔻美丽人生花语香水:花香果香调的魅力