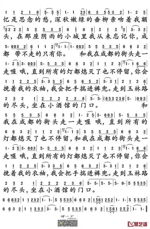
成都 赵雷 歌谱 简谱

高清图片下载 免费 安全无风险
成都 赵雷 歌谱 简谱

成都 赵雷 歌谱 简谱

点击图片查看原图

图片信息

  • 格式: JPG
  • 尺寸: 2480x3508
  • 大小: 约1.2MB

版权声明

相关标签

自然风光 高清壁纸 4K画质

分享图片

相关推荐

基于当前图片的相似推荐

成都简谱-赵雷演唱-孙世彦制谱-看乐谱网

成都简谱(歌词)_赵雷演唱_小弩制谱-明明简谱网

赵雷《成都》吉他简谱 - 抖音

成都简谱-赵雷-刷爆了朋友圈,你又曾因为谁爱上一座城_简谱

成都(两会版)(谌强词 曲唱) 赵雷 歌谱简谱网

成都(简谱 带前奏)吉他谱 赵雷-彼岸吉他 - 一站式吉他爱好者服务平台

《成都》—钢琴简谱

成都简谱-赵雷演唱-孙世彦制谱-看乐谱网

《成都》简谱入门,《成都》完整版简谱-图片大观-奇异网

成都 赵雷 歌谱 简谱

成都 歌手 live版 赵雷 歌谱 简谱

随机推荐

发现更多精彩图片

空中看泗泾古镇新颜

2023年11月9日唯美早安祝福图片带问候语愿你一生平安幸福事事都顺心

鬼刀海琴烟公主带鱼屏图片

日本警告将采取一切必要手段干预日元贬值 & 夏目友人帐第七季今秋

教你制作4块超酷的火影忍者飞镖,我最喜欢第二款

爱步eccofashionshoes系带低帮休闲运动鞋

解决用户难题,中国重汽皮卡成时下户外越野新宠儿_深圳车市-网上车市

番剧:七大罪角色:梅利奥达斯动漫男头Δ

致青春💚那些无所顾忌光芒万丈的滚烫句子

泰润烟富8号苹果苗瑞阳苹果苗苗木种植基地

汉台酒业以文化赋能白酒产业的发展升级为出发点,决心复兴"茅公馆"

蒙氏数学教具百数板1-100数字连续板儿童早教启蒙认数字玩具积木