雷声隆隆 斯洛伐克民歌

高清图片下载 免费 安全无风险
雷声隆隆 斯洛伐克民歌

雷声隆隆 斯洛伐克民歌

点击图片查看原图

图片信息

  • 格式: JPG
  • 尺寸: 716x1036
  • 大小: 约1.2MB

版权声明

相关标签

自然风光 高清壁纸 4K画质

分享图片

相关推荐

基于当前图片的相似推荐

牧童(斯洛伐克民歌)简谱_流行简谱_嗨瑶简谱网

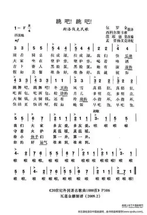
跳吧!》——斯洛伐克民歌

斯洛伐克 八只小鹅 三声部合唱

跳吧,跳吧(斯洛伐克)

斯洛伐克民歌中文版《牧童》_哔哩哔哩_bilibili

深情次中音萨克斯曲)_thyme_are

斯洛伐克民歌《八只小鹅》作品介绍:《八只小鹅》是一首充满风趣的

重唱歌曲《牧童》乐谱--斯洛伐克民歌

重唱歌曲牧童乐谱斯洛伐克民歌

随机推荐

发现更多精彩图片

陆贞把逆风局打成顺风局#电视剧《陆贞传奇》中陆贞@赵丽颖为了躲避

张翰的"妈妈", 如今51岁风采依旧,美过赵雅芝和温碧霞

我觉得宸汐缘女主的服装是根据三个时期人物变化而改变的(96一点点

翔通动漫母亲节表情合集

害人无数!没有这项配置的卡车,简直是大杀器!

红星歌电影闪闪的红星主题歌线简谱对照正谱

《燕云台》萧燕燕韩德让遭遇最大考验,李思乌骨里自取灭亡_皇帝_故事

万寿菊泡水喝的功效与作用及危害

iqooz3红米note10pro和真我q3pro之间该如何选

最新服装公司办公室室内装饰设计效果图

精选二次元动漫福利手机