一种基于小波变换自适应滤波的气固两相流交流电信号处理方法

高清图片下载 免费 安全无风险
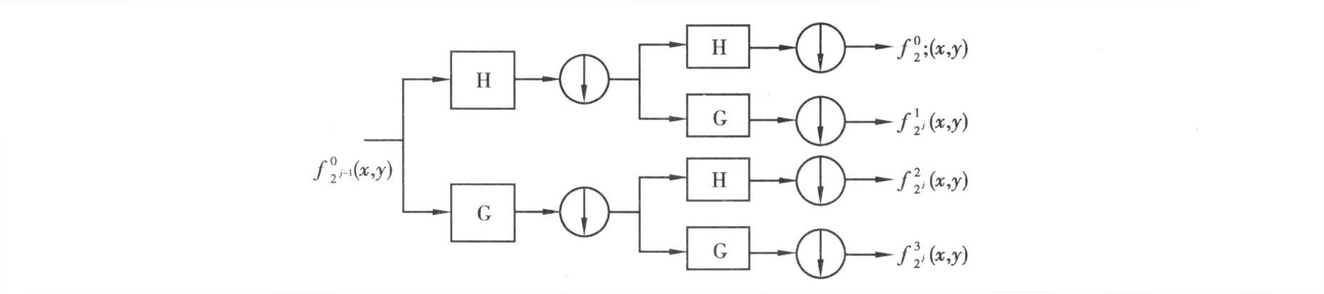
一种基于小波变换自适应滤波的气固两相流交流电信号处理方法

一种基于小波变换自适应滤波的气固两相流交流电信号处理方法

点击图片查看原图

图片信息

  • 格式: JPG
  • 尺寸: 1000x677
  • 大小: 约1.2MB

版权声明

相关标签

自然风光 高清壁纸 4K画质

分享图片

相关推荐

基于当前图片的相似推荐

小波变换工程实现原理总结

傅里叶变换与小波变换的区别

题目压缩感知稀疏基之离散小波变换

基于小波变换微弱生命信号提取的研究

简谈基于fpga设计97小波变换原理

基于小波变换和加权移动平均的接地网电位差滤波方法技术

无忧文档 所有分类 教学研究 教学反思/汇报 小波分析及应用 变换到

小波信号处理概述(小波去噪,小波包,小波神经网络) | 码农家园

基于小波变换的数字图像压缩研究

图 3 多级离散小波变换图选项对于第1级,x1, l[n]=∑kx[2n61k]g[k]

随机推荐

发现更多精彩图片

实力派演员名单中国演技实力派男明星排行榜

古代将军_将军png素材-90设计

黄色菊花国潮手绘卡通重阳节元素

十大最美丽的灯鱼_观赏鱼类_西南渔业网 水花鱼 水

旗袍美女#ai绘画 #二次元 #图文伙伴计划 #动漫 #壁纸 - 抖音

【转载】明代绘画 大都会艺术博物馆藏(二)

由美头网整理发布,风水头像频道提供更多与财运,招财相关的头像图片

1999年9月,中国加入人类基因组计划,是参与这一研究计划的唯一发展

carelesswhisper无心快语萨克斯附带伴奏乐器周边

铭记党史凝聚力量三亚丰和学校初中部党史手抄报展

203|简笔画|植物篇——小草02 适合新手临摹 容易下手简单简笔草丛

印度举行阅兵彩排摩托车方阵大秀特技