老人家纯手工加工黄杨木手串

高清图片下载 免费 安全无风险
老人家纯手工加工黄杨木手串

老人家纯手工加工黄杨木手串

点击图片查看原图

图片信息

  • 格式: JPG
  • 尺寸: 1350x1800
  • 大小: 约1.2MB

版权声明

相关标签

自然风光 高清壁纸 4K画质

分享图片

相关推荐

基于当前图片的相似推荐

黄杨木手串包浆后是什么颜色?_北京商业网

青陌金黄杨木佛珠手串老料男女文玩手链高密佛珠

黄杨木湖北黄杨小叶黄杨佛珠手串精品小孔手串2008108颗男女手链珠径0

特大黄杨木佛珠串-菩提手串/佛珠-7788文玩

大叶黄杨木2.0佛珠直播微商手串手链企业公司定制商务礼品包装

精品水黄杨手串大量现-价格:30元-se47324691-其他木手串/佛珠-零售

日本购回包老 原包浆《老黄杨木御念手串》一条 这条手串有20颗珠子穿

青陌金黄杨木佛珠手串老料男女文玩手链高密佛珠

天然小叶黄杨木手串108颗木质佛珠手链小孔精品地摊货源厂家直销

小叶黄杨木瘤疤手串念珠瘿瘤3.0黄杨爆满瘤收藏级男女手链工艺品

随机推荐

发现更多精彩图片

高冷女生头像侧脸霸气 2020女神高冷气质头像 - 女生头像 - 潮人个性

同桌的你指弹吉他谱 老狼 c调简单版

迷人的女孩侧身站在浅黄色的背景上,看着镜头.浅笑照片

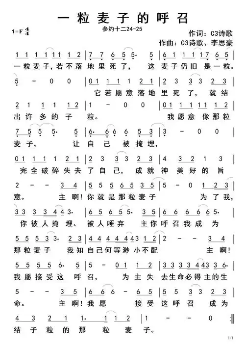
一粒麦子的呼召 官方简谱_歌词大全_乐谱吧

电视机背景墙壁纸中式轻奢客厅影视古风梅花墙纸定制壁画无缝墙布

猫咪喵星人小伙子表现不错赞soogifsoogif出品gif动图_动态图_表情包

尹相杰和歌手肖洋分手8年:他浪子回头后娶拍卖师,她的人生怎样

欧洲车牌随手拍-爱卡汽车网论坛

正版 老电影 刘三姐 50/60年代经典中国影像dvd光盘光碟片 黄婉秋

大尾翼 低趴 碳纤维车身 新款阿斯顿马丁vantage gt3正式亮相

牛油果简笔画图片简单画

九宫格照片^_^百天照[嘿哈][嘿哈][嘿哈]#来给生活比个 - 抖音