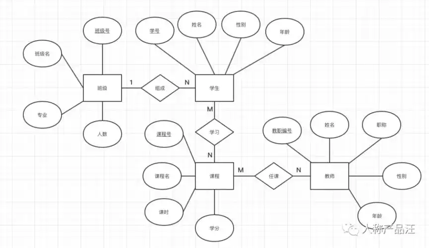
项目经理技能er实体关系模型

高清图片下载 免费 安全无风险
项目经理技能er实体关系模型

项目经理技能er实体关系模型

点击图片查看原图

图片信息

  • 格式: JPG
  • 尺寸: 1006x619
  • 大小: 约1.2MB

版权声明

相关标签

自然风光 高清壁纸 4K画质

分享图片

相关推荐

基于当前图片的相似推荐

实体关系图怎么画5个步骤完成专业er模型图

实体关系图怎么画5个步骤完成专业er模型图

p>实体关系模型(entity relationship diagram) a href="#" data

建立实体-关系模型(案例)

2,将e—r图模型转化为数据表,如下图

图书管理系统实体图

uml画法我们可以用uml类图的画法来构建实体关系模型,有些朋友可能会

er图实体关系图怎么画

实体关系模型(e-r图)ppt

随机推荐

发现更多精彩图片

可以见到"最萌身高差"的情侣偏多,身高1米8和身高1米6的女生站在一起

王俊凯北京出发,腿上伤疤怎么回事?饭拍和官方的区别啊

43岁蓝正龙现身,自称儿女双全狂秀恩爱,三字评价大s恐将其气炸_活动

鸿运当头聚宝盆山水画张野老师小八尺

3dmax人物建模从一个长方体到完整二次元卡通人物角色建模布线卡线

lol英雄联盟星之守护者辛德拉皮肤4k壁纸

九星石材/火烧石黄锈石花岗岩 石材板/广场砖园林石材/干挂石材

【北京三兴】赴首都博物馆开展党史学习教育

荷花简笔画(彩铅手绘) #简笔画# #简笔画教程# #手绘临摹# #彩铅手绘

西亚分别有哪几个国家「专家回答」

行楷抄写《卜算子·自嘲》本是后山人_哔哩哔哩_bilibili