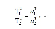
万有引力(全章)课件人教版原创 开普勒第三定律 (周期定律) 所有行星

高清图片下载 免费 安全无风险
万有引力(全章)课件人教版原创 开普勒第三定律 (周期定律) 所有行星

万有引力(全章)课件人教版原创 开普勒第三定律 (周期定律) 所有行星

点击图片查看原图

图片信息

  • 格式: JPG
  • 尺寸: 1080x810
  • 大小: 约1.2MB

版权声明

相关标签

自然风光 高清壁纸 4K画质

分享图片

相关推荐

基于当前图片的相似推荐

追寻牛顿的足迹 3,根据开普勒第三定律 3 r k t 即 代入得 mr

开普勒行星运动三大定律基本内容

开普勒行星第三定律中的这个公式:r^3/t^2=k为什么与行星无关而与太阳

开普勒第一二三定律.docx

开普勒行星运动三大定律

开启天体运动的学习之旅 轨道定律 面积定律 周期定律 开普勒三大定律

类比类比或然性开普勒第三定律发展简史

地上一日,天上一年,那根据开普勒定律,天庭离地球多远呢?

开普勒第三定律的推导最后一行的公式右侧,是一个只和太阳质量有关,对

随机推荐

发现更多精彩图片

律师如何看电影?《唐人街探案3》涉及罪名分析

美丽的幻想女孩,小精灵,公主

稻香海鲜点心酒家 ·创立于 - 抖音

乾隆《大阅图》里的八旗军服密码

谷歌原生壁纸 - 资源共享 - 一加手机社区官方论坛

梵高《星空》纯手绘布面油画

迷你世界:最强力的两个女性角色,谁说女子不如男

【保真】国家一级美术师欧阳家合书法配画:诚信赢天下

今天打开电脑发现网络无法连接还提示我windows出了故障,求解答

苹果为游戏模拟器开绿灯,游戏模拟器未来终于能在app store亮相了90