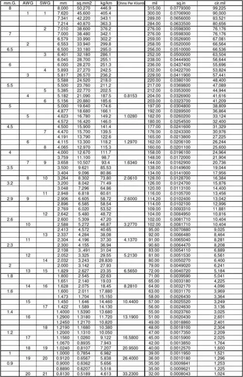
线径载电流查询表

高清图片下载 免费 安全无风险
线径载电流查询表

线径载电流查询表

点击图片查看原图

图片信息

  • 格式: JPG
  • 尺寸: 677x1084
  • 大小: 约1.2MB

版权声明

相关标签

自然风光 高清壁纸 4K画质

分享图片

相关推荐

基于当前图片的相似推荐

电缆电流查表大全_word文档在线阅读与下载_无忧文档

导线线径与电流对照表doc

常用线号-线径-截面积-电流对照表

常用铜导线(bvr)载流量对照表

铜线线径规格对照表

导线线径与电流对照表

下面是铜线在不同温度下的线径所能承受的最大电流表格.

铜线线径 铜线线径规格对照表

1 第1页 (共5页,当前第1页) 你可能喜欢 线径电流对照表 导线截面积与

常用线号-线径-截面积-电流对照表

随机推荐

发现更多精彩图片

是胡歌执行经纪人,两人相差10岁,长相似毕滢|张丹峰|彭于晏|古巨基

校考推迟网课先行全国多家艺术院校蓄势待发

曝王俊凯养嫂子事件被实锤与杨柳穿情侣鞋人前避嫌人后黏一起

组图:卢杉活动秀美腿 唱吴亦凡新歌紧张到飙汗_高清图集_新浪网

头像少女心爆棚图片

汉字笔画名称表大全

手机爱奇艺app怎么下载电影电视剧

红多多番茄酱包装设计_深圳包装设计

88vip:mengniu 蒙牛 纯牛奶 250ml*24盒*2件

与狼共舞16年孕育生命终美满

管风琴音栓介绍principalmontreprestantdiapason