钱忠飞立体画,狗狗

高清图片下载 免费 安全无风险
钱忠飞立体画,狗狗

钱忠飞立体画,狗狗

点击图片查看原图

图片信息

  • 格式: JPG
  • 尺寸: 1280x960
  • 大小: 约1.2MB

版权声明

相关标签

自然风光 高清壁纸 4K画质

分享图片

相关推荐

基于当前图片的相似推荐

画家利用黑白灰在一张张平面的纸张上勾勒出空间的立体感,总是想用手

形意结合!单词素描,妈妈的强大抵御风霜【3d立体画】

32个令人难以置信的3d立体铅笔画(3)

alessandro diddi惊人的的立体铅笔画

15岁少年惊人的3d素描立体画

惊爆眼球的超写实立体素描画

最新一组纸上3d立体素描画,来自21岁的日本艺术达人nagai hideyuki.

没钱,潇洒不起来.#素描 #3d画 #立体画

ramon bruin超牛3d立体画23幅_素描自学网

随机推荐

发现更多精彩图片

深圳南山区万和热水器维修86675180

调味酱料搅拌炒锅 商用辣椒酱火锅底料炒锅 300-800kg行星炒锅

新疆棉花是这么种这么采的

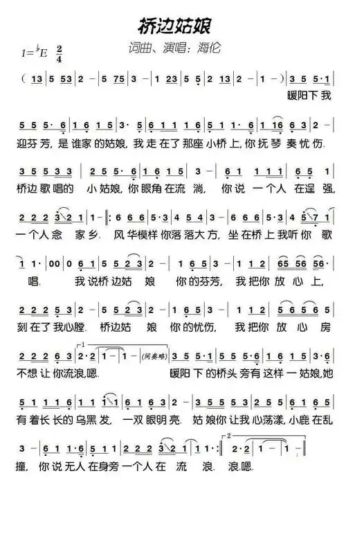
桥边姑娘-简谱口琴谱-学口琴音乐网

奥尼尔亲笔签名十寸裱框大照片 湖人热火 装饰画收藏

泥土里的种子图片_泥土里的种子素材-泥土里的种子图片大全-千库网

延边冷冻新鲜明太鱼8斤小明太鱼鱼仔单条3两左右烧烤鱼ktv用包邮

温州锦泓猪脏粉温州猪脏粉天花板