纹身刺青 #纹身 #花纹身素材 #猫头鹰纹身 #欧美纹身手 - 兑趑

高清图片下载 免费 安全无风险
纹身刺青 #纹身 #花纹身素材 #猫头鹰纹身 #欧美纹身手 - 兑趑

纹身刺青 #纹身 #花纹身素材 #猫头鹰纹身 #欧美纹身手 - 兑趑

点击图片查看原图

图片信息

  • 格式: JPG
  • 尺寸: 1080x1350
  • 大小: 约1.2MB

版权声明

相关标签

自然风光 高清壁纸 4K画质

分享图片

相关推荐

基于当前图片的相似推荐

欧美写实风格纹身赏析带给你震感冲击力

吸血鬼欧美风纹身矢量素材

辽宁省大连市纹身师-华龙堂的纹身作品集

精品纹身(194)期欧美写实

花臂纹身##欧美纹身素材##北京纹身

北京纹身##欧美纹身素材##彩色纹身##女生纹身

纹身分享##纹身设计##北京纹身店##纹身素材分享

河南省郑州市纹身师-风云新刺客的纹身作品集

纹身分享##纹身设计##北京纹身店##纹身素材分享

欧美个性写实风纹身图案2

欧美素材花臂拼接小素材,适合喜欢拼接花臂的朋友参考素材 #纹身

随机推荐

发现更多精彩图片

华晨宇出道前的样子你见过吗?见过可能都认不出,变化真的太大

全球著名的十大卡通形象,你都知道吗?泰迪熊好萌呀!

朋阳电动爬楼机平板搬运车搬家爬楼梯神器小推车上下楼梯载重王爬楼车

童话小镇秀场直击day9三寸盛京张彦aw24

三给片区单价7500元/﹐-10000元/﹐,太钢周边区域6000元/﹐-9000元/﹐

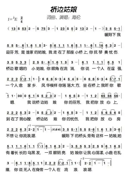
桥边姑娘-简谱口琴谱-学口琴音乐网

藏族女孩|插画|创作习作|想要变成猫00_原创作品-站酷zcool

秦麻麻蜜茶做的小象馒头一次发酵

do脸坦白局 30 小姐姐的日常do脸 d - 抖音

ppt结尾页别只会写"谢谢观看"!

韩国高瘦女生穿搭裤子女显瘦百搭显高牛仔裤2020新款女装铅笔裤