开业礼物时来运转图片

高清图片下载 免费 安全无风险
开业礼物时来运转图片

开业礼物时来运转图片

点击图片查看原图

图片信息

  • 格式: JPG
  • 尺寸: 300x300
  • 大小: 约1.2MB

版权声明

相关标签

自然风光 高清壁纸 4K画质

分享图片

相关推荐

基于当前图片的相似推荐

九州祥时来运转聚宝盆黄红白水晶球招财琉璃玉聚宝盆摆件公司办公室

黄铜时来运转汽车钥匙扣钥匙圈钥匙环挂件链挂件配饰新款个性古风饰品

慈风阁 黄铜九转乾坤风水摆件时来运转鼎针对运气不好倒霉

开业礼物时来运转图片

【轻奢款】时来运转葫芦-墨绿金【图片

聚宝盆水晶球时来运转 招财进宝 玄关镇宅聚财转运珠 财源滚滚

檀木时来运转钥匙扣好运汽车钥匙圈挂件手工创意挂坠车用钥匙扣

纯铜时来运转摆件扭转乾坤九转乾坤鼎九龙戏珠招财转运工艺品

符小叶紫檀木高档车内挂饰车载挂件六字箴言后视镜吊坠寓意时来运转

时来运转,心想事成,万事顺遂#动态壁纸 #见者好运

随机推荐

发现更多精彩图片

40岁伏明霞近照曝光瘦后出镜似少女66岁老公回应离婚传闻

《大美新疆醉美博乐》我的风光摄影专辑(五)

冠牧纯牛奶箱子 250ml-12盒

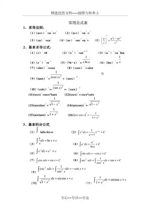
常用求导公式表共2页

周启豪惜败松岛辉空朱芊曦击败刘炜珊王楚钦击败徐瑛彬

古代寓言故事杞人忧天

做腿部经络疏通这些好处你要知道

南京城沦陷之后,日军犯下了种种暴行,残暴程度令人发指

舰娘 舰队ccllection 碧蓝航线 欧根亲王

密集恐惧症慎入狗狗身上全是蜱虫头皮发麻

黑宝 熊胆胶囊 8盒装