h ocoo h coo cohh o哌嗪 为 抗丝虫药病物,也用于哮可,喘水溶 显酸

高清图片下载 免费 安全无风险
h  ocoo h coo cohh o哌嗪 为 抗丝虫药病物,也用于哮可,喘水溶 显酸

h ocoo h coo cohh o哌嗪 为 抗丝虫药病物,也用于哮可,喘水溶 显酸

点击图片查看原图

图片信息

  • 格式: JPG
  • 尺寸: 1080x810
  • 大小: 约1.2MB

版权声明

相关标签

自然风光 高清壁纸 4K画质

分享图片

相关推荐

基于当前图片的相似推荐

海群生hetrazan枸橼酸乙胺嗪片

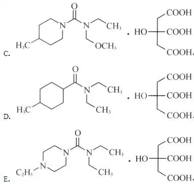
对班氏丝虫,马来丝虫和盘尾丝虫成虫及微丝蚴的活性较乙胺嗪为高,但

对班氏丝虫,马来丝虫和盘尾丝虫成虫及微丝蚴的活性较乙胺嗪为高,但

对班氏丝虫,马来丝虫和盘尾丝虫成虫及微丝蚴的活性较乙胺嗪为高,但

枸橼酸乙胺嗪 1642-54-2

枸橼酸乙胺嗪化学分子

对班氏丝虫,马来丝虫和盘尾丝虫成虫及微丝蚴的活性较乙胺嗪为高,但

抗丝虫病药枸橼酸乙胺嗪的化学结构为

随机推荐

发现更多精彩图片

我的世界:模组"暮色森林"里的中立生物和敌对生物

美女图片头像背影海边背影头像女海边高清图片

六年级最后一学期的美术作业展

全国人大教科文卫委副主任委员殷方龙来岳调研职业教育工作

盐城伍佑生态高效农业示范园规划设计方案文本

火影忍者极清炫酷高清桌面壁纸 第一辑

汇总丨骨科常用的角度测量方法

南开区地图1.1米天津市新版交通及行政公办家用自粘高颜值装饰画 覆膜

我们的新时代平和县凝心聚力打造现代化滨海城市后起新秀