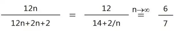
烷烃的结构和性质

高清图片下载 免费 安全无风险
烷烃的结构和性质

烷烃的结构和性质

点击图片查看原图

图片信息

  • 格式: JPG
  • 尺寸: 640x291
  • 大小: 约1.2MB

版权声明

相关标签

自然风光 高清壁纸 4K画质

分享图片

相关推荐

基于当前图片的相似推荐

分子模型戊烷球棍尺寸有机化学演示立体教学仪器教学仪器

这题在其它书上看过一个奇怪的解释,说标准五元环键角108度,更接近

分子模型戊烷球棍尺寸有机化学演示立体教学仪器教学仪器

正戊烷,异戊烷,新戊烷随碳原子数目增多,密度增大,但都小于水的密度.

环丙烷,环戊烷,环己烷r的结构简式环丙烷,环戊烷,环己烷r的球棍模型环

附:环烷烃环丙烷,环戊烷,环己烷r的结构简式环丙烷,环戊烷,环己烷r的

附:环烷烃环丙烷,环戊烷,环己烷r的结构简式环丙烷,环戊烷,环己烷r的

00厂家直供包胶棒铃健身训练 棒铃pu棒球棒聚氨酯弹.061.

20升桌面型伺服灌装机_防腐漆灌装机_服务_操作_设备

附:环烷烃环丙烷,环戊烷,环己烷

随机推荐

发现更多精彩图片

高山草甸_微信头像风景图片_扣扣居

西方人,手,一个人,竖图,室内,特写,白天,白色背景,正面,满意,胜利

蔡少芬的哪个眼神最美最迷人?

甜甜的动漫情侣头像no.2_情侣头像_我要个性网

爱曲谱>简谱>白鸽琴谱分类歌手排行榜简谱钢琴谱gtp吉他谱吉他谱首 页

皇后头像漫画图片 漫画q版皇后头像图_微信头像图片大全

69岁殿堂级歌手徐小凤近照曾为事业放弃婚姻今依然单身

x版 air jordan 1 retro high og aj1 乔1北卡蓝 555088-117

工资收入证明.doc 2页

750ml1瓶法国拉菲罗斯柴尔德珍藏多克2017红葡萄酒干红静态葡萄酒

【线上定金】小狼狗先生3d野生眉半永久专属眉形设计眉毛纹绣纹眉