9007戈登玩具车儿童玩具pet日本直邮anpanman汽车模型dia

高清图片下载 免费 安全无风险
9007戈登玩具车儿童玩具pet日本直邮anpanman汽车模型dia

9007戈登玩具车儿童玩具pet日本直邮anpanman汽车模型dia

点击图片查看原图

图片信息

  • 格式: JPG
  • 尺寸: 1000x1000
  • 大小: 约1.2MB

版权声明

相关标签

自然风光 高清壁纸 4K画质

分享图片

相关推荐

基于当前图片的相似推荐

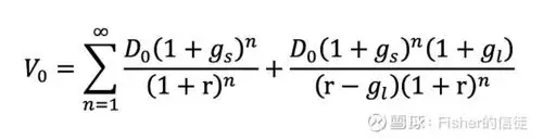
戈登模型(gordon growth model,ggm)是一种经典的股票估值模型,由

hot toys推《蝙蝠侠》戈登局长12寸可动模型

乔治·戈登·拜伦3d模型

mondo半条命戈登弗里曼博士12寸手办人偶模型

artfx 哥谭 詹姆斯·戈登

估值方法之戈登增长模型

大神用虚幻四打造戈登弗里曼模型超精致宛如真人

戈登·弗里曼是经典射击游戏《半条命1》中的男主角,该手办模型高约7

neca 7寸系列 普通版 游戏 半条命 戈登弗里曼

乔治戈登拜伦头像雕塑模型

乔治戈登拜伦头像雕塑模型

随机推荐

发现更多精彩图片

壁纸大全|个性全面屏壁纸

绣球折纸法之折纸洋娃娃

原创王一博穿裤子不按套路出牌黑裤嵌满松紧带将成下一个爆款

国庆节联谊会邀请函设计模板psd素材

光影黑皮的相册 - 我的图片库

林建明生于广东,很小的时候就来到中国香港生活,成为了亚视的一名女

十种常见树木图片及名称(100种树木的名字和图片)

马面裙可以搭配背心,大衣,短款上衣,娃娃领衬衫,法式衬衫,短袄,长袄

魔幻手机傻妞曾3次对小千示爱第1次遭拒最后一次这样回应