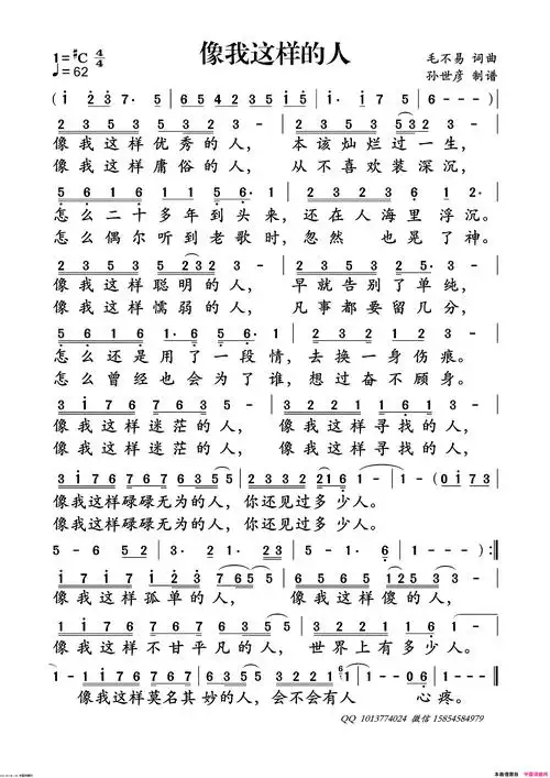
像我这样的人简谱

高清图片下载 免费 安全无风险
像我这样的人简谱

像我这样的人简谱

点击图片查看原图

图片信息

  • 格式: JPG
  • 尺寸: 640x794
  • 大小: 约1.2MB

版权声明

相关标签

自然风光 高清壁纸 4K画质

分享图片

相关推荐

基于当前图片的相似推荐

像我这样的人原创简谱毛不易作词毛不易作曲毛不易演唱

像我这样的人(毛不易词曲 刘宇宁演唱)_简谱

像我这样的人像我这样的人简谱像我这样的人吉他谱

11像我这样的人唱谱像我这样的人简谱

姜育恒像我这样的人简谱曲谱歌谱谱子

像我这样的人-毛不易双手简谱预览1

毛不易《像我这样的人》c调和弦简单版吉他谱【西二吉他】

像我这样的人_歌谱简谱_哆来咪123曲谱网

>>毛不易《像我这样的人》

随机推荐

发现更多精彩图片

杨幂2021时尚芭莎慈善晚宴

砥砺新征程丨卡联股份董事长张权2024年元旦迎新致辞_合作_进步_公司

《荷&莲》—— 接天莲叶无穷碧,映日荷花别样红.

学区划分引争议?珠海凤凰中学9月开学,学区划分新鲜出炉

2017学校教育教学教学设计通用ppt模版

杭州地铁3410号线三线齐开杭州网记者带你体验

薇恩上单优势多很多人表示怎么打手短的够不着长的就跑

假面骑士 #正片 #假面骑士圣刃 #假面骑士冰狮子 #co - 抖音

大众甲壳虫汽车的发展史

法国巴比松画派裘利恩·杜普荷作品

《斜阳下的村庄》油画70x90cm刘鹏云

ipad潮玩插画雪人小骑士mountaintoys