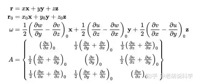
知乎热议最丑陋的数学公式四次方程求根高票当选

高清图片下载 免费 安全无风险
知乎热议最丑陋的数学公式四次方程求根高票当选

知乎热议最丑陋的数学公式四次方程求根高票当选

点击图片查看原图

图片信息

  • 格式: JPG
  • 尺寸: 720x708
  • 大小: 约1.2MB

版权声明

相关标签

自然风光 高清壁纸 4K画质

分享图片

相关推荐

基于当前图片的相似推荐

你觉得最经典的数学公式是什么?

改变世界的方程之纳维尔斯托克斯方程堪称最难的物理学方程

世界上第一次给出勾股数通解公式的是我国古代数学

世界上最伟大的十个公式看看你懂得几个

《世上最伟大的十个公式》1,麦克斯韦方程组;2,欧拉公式;3,牛顿第二

世界上最长数学的公式是哪一条

下图中的5维膜世界模型的等效作用量,这也是本片中出镜率最高的公式

世界上最难的公式,宇宙终极公式

世界上最伟大的公式欧拉公式道尽数学的美好

弦理论回答了一系列关于粒子的疑难问题,如,为什么在自然界中有着如此

华裔教授发现二次方程极简解法丢掉公式全球教科书可能都要改了

随机推荐

发现更多精彩图片

【同性】国产腐剧《亲爱的先生》第一集·出柜篇_哔哩哔哩_bilibili

幸运的锦鲤,高清图片,电脑桌面-壁纸族

高清帅气男头像普通真实可以拿来网恋,男生头像图片

你平时乘坐电梯时有遇到过不文明行为吗?

游乐场简笔画游乐场简笔画儿童画简单

电动车全车线路颜色对照表:1,电源线为三根线,颜色分别为红色,红色

本田八代雅阁全车内饰改装,一直改一直爽!

民国双旗铜板 铜币铜板铜钱 收藏古董保真古玩老物件旧钱币

你可能也喜欢:查询:六十甲子纳音表六十甲子表查询:六十甲子顺序表

非洲堇缟花 АВ-Вполголоса (独家稀有 珍贵的品种)1人

有烟草证朋友圈卖烟违法吗_与mt原味烟草一样的烟油_烟草原味的烟都有