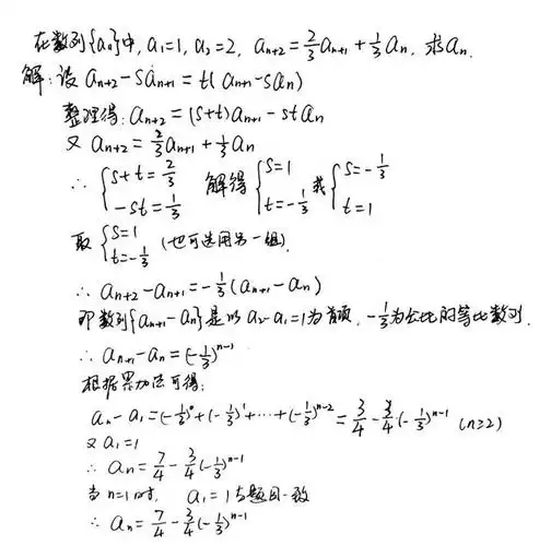
大学高数题,求解

高清图片下载 免费 安全无风险
大学高数题,求解

大学高数题,求解

点击图片查看原图

图片信息

  • 格式: JPG
  • 尺寸: 486x648
  • 大小: 约1.2MB

版权声明

相关标签

自然风光 高清壁纸 4K画质

分享图片

相关推荐

基于当前图片的相似推荐

高考史上"特难"的数学题,中科院院士看后摇头:不应该拿来高考

北京大学2020年强基计划招生数学题,求sn最大值,常规方法可解

6道难倒大学生父母的数学题,能做出来的都是高智商

大学生数学试题及答案_第1页

原创高考史上最难的数学题之一中科院院士看了摇头不适合高考

一道高数的题目,有些难,谢谢

有没有大学比较难做的数学题给一题

大学数学题--二元函数极限

随机推荐

发现更多精彩图片

而注射死刑的由来,就是为了减轻犯人痛苦的.

雪战燃油踏板摩托车望江铃木发动机全新款125c省油国四电喷女装踏板车

一碗三色堇,紫色白色花瓣 壁纸 - 1280x1024

招生招聘你过来啊勾引挑衅表情包动图gif

如果索伦夺回了魔戒会如何?

可爱的考拉卡通设计

早期民俗用品平底老煤油灯

「自制中字」金江珉 esquire 画报 拍摄花絮-时尚视频-搜狐视频

特基拉日落鸡尾酒调制特基拉日落鸡尾酒特基拉日落鸡尾酒的做法丨调酒