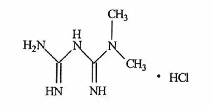
38945-21-0 o-烯丙基羟胺盐酸盐 o-allylhydroxylamine hydrochloride

高清图片下载 免费 安全无风险
38945-21-0 o-烯丙基羟胺盐酸盐 o-allylhydroxylamine hydrochloride

38945-21-0 o-烯丙基羟胺盐酸盐 o-allylhydroxylamine hydrochloride

点击图片查看原图

图片信息

  • 格式: JPG
  • 尺寸: 642x285
  • 大小: 约1.2MB

版权声明

相关标签

自然风光 高清壁纸 4K画质

分享图片

相关推荐

基于当前图片的相似推荐

盐的化学式盐的化学式有哪些

imeglimin盐酸盐_用途_分子量_结构式_cas号【775351-61-6】_化源网

盐酸二甲双胍缓释胶囊

heta-盐酸盐|heta hydrichloride|30007-39-7|参数,分子结构式,图谱

l-鸟氨酸-d6盐酸盐_msds_用途_分子量_cas号【347841-40-1】_化源网

盐酸多西环素,doxycycline hydrochloride

盐酸(氯化氢)分子.它是一种腐蚀性强的无机酸.结构化学式和分子模型

盐酸伪麻黄碱结构式 pseudoephedrine hydrochloride

随机推荐

发现更多精彩图片

少女写真客片分享好久没有客人找我拍日常少女啦可爱的女孩子真是世界

剃毛过程中剃毛后效果剃毛后特写对比图剃毛刀除毛虽然简便并且没有

等你下课吉他谱图片格式六线谱

很多时候大人在看完我们手指上的斗之后,就

2023年11月尼桑轩逸 自动挡 原版原漆 一手车 - 抖音

杭州别墅样板房客厅落地窗装修欣赏

商场同款专柜直发天王表轮时代1988款男士手表自动机械表真皮5963

六年级科学下册《月相变化》