感恩的歌曲永远唱不休 - 杨华yh赞美歌谱

高清图片下载 免费 安全无风险
感恩的歌曲永远唱不休 - 杨华yh赞美歌谱

感恩的歌曲永远唱不休 - 杨华yh赞美歌谱

点击图片查看原图

图片信息

  • 格式: JPG
  • 尺寸: 644x640
  • 大小: 约1.2MB

版权声明

相关标签

自然风光 高清壁纸 4K画质

分享图片

相关推荐

基于当前图片的相似推荐

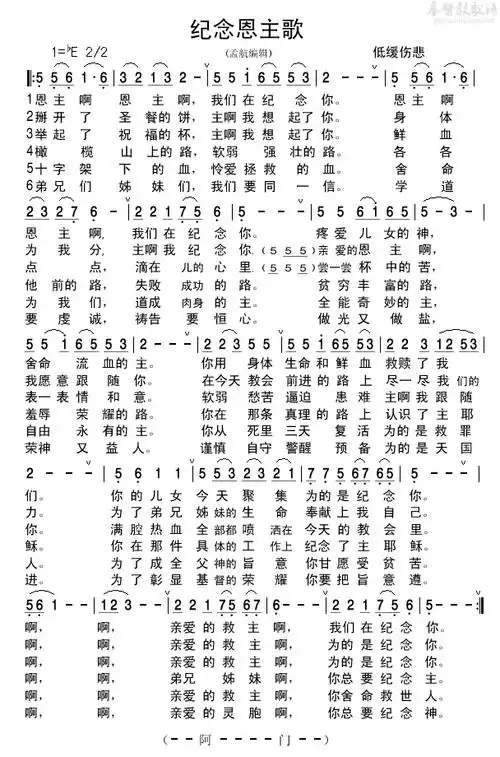
第898首 - 纪念恩主_简谱_乐谱吧

下载纪念恩主歌歌谱

下载纪念恩主歌歌谱

纪念恩主歌_简谱_用户传谱 | 搜谱——打造全国最大的歌谱搜索引擎

下载纪念恩主歌歌谱

纪念恩主歌在什么书里多少章多少节请问是诗歌还是圣经节

纪念恩主歌纪念恩主歌歌谱

纪念主简谱该歌谱演奏者为合唱团,歌曲

随机推荐

发现更多精彩图片

丁程鑫这组图真的帅到我了,这个氛围感all black77黑色耳环77狼尾

范冰冰黄少祺拍婚纱照全程眼神无交流,网友:不爱怎么拍都别扭!

全球变暖英文演讲幻灯片.ppt 12页

0mta矿井型选煤厂初步设计

二年级美术课堂《给树爷爷画像》作品展播

愿众生一切平安喜乐 94四尺工笔佛98《南无阿弥陀佛》 - 抖音