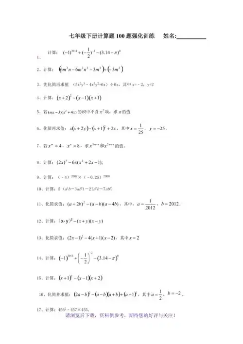
七年级下册数学计算题和解答题001pdf13页

高清图片下载 免费 安全无风险
七年级下册数学计算题和解答题001pdf13页

七年级下册数学计算题和解答题001pdf13页

点击图片查看原图

图片信息

  • 格式: JPG
  • 尺寸: 804x1137
  • 大小: 约1.2MB

版权声明

相关标签

自然风光 高清壁纸 4K画质

分享图片

相关推荐

基于当前图片的相似推荐

人教版七年级下册数学计算题300道

七年级下册二元一次方程纯计算题100题最新整理

人教版七年级下册数学二元一次方程组计算题word版含答案

浙教版七下数学第五章分式计算题集锦word版含答案

苏教版数学七下计算题测试2doc

人教版七年级数学下册计算题测试卷

最新七年级下册解不等式计算题解析.docx 7页

七下数学计算题100道

北师大版七年级数学下册 基础计算题100题(无答案).doc

人教版七年级数学下册计算题练习.doc

北师大版七年级数学下册基础计算题100题无答案

北师大版七年级数学下册 基础计算题100题(无答案).doc

随机推荐

发现更多精彩图片

章龄之《猎场》高清剧照图片桌面壁纸

人这一生,悲喜自渡,他人难悟,没有所谓的感同身受,唯有冷暖自知.

好人一生平安#感谢微视平台官方推广#正能呈

越来越好每个人最简单亦是最深刻的追求

假面骑士零一/zero one/01 【35】a

山河令张成岭喜欢谁人物介绍结局 张成岭扮演者孙浠伦个人资料