求导y=lnx/x

高清图片下载 免费 安全无风险
求导y=lnx/x

求导y=lnx/x

点击图片查看原图

图片信息

  • 格式: JPG
  • 尺寸: 768x1024
  • 大小: 约1.2MB

版权声明

相关标签

自然风光 高清壁纸 4K画质

分享图片

相关推荐

基于当前图片的相似推荐

lnlnx怎么求导?导数你一定得会的公式!

要对lnx求导,如图所示

y=lnlnlnx×△x o(△x),求y二阶导数

在对内层函数求导:[2x]的导数为2

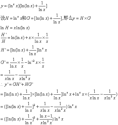
y=[(lnx)^x] * [ln(lnx) (1/lnx)] .求y的导数

的话,是不是sinsinx求导就是cos(sinx)cos,lnlnlnx求导就是1/xlnlnx

y=xlnx的n阶导数怎么求

随机推荐

发现更多精彩图片

王者荣耀伽罗天狼溯光者去掉所有遮挡物

男士职业伴郎服新郎结婚礼服夏新款修身商务正装西服套装休闲西装

旗木卡卡西cosplay 火影忍者 忍者兵器 塑料飞镖 忍者飞标-阿里巴巴

青春留影 毕业季校园制服人像摄影示范(5)

侧躺着睡觉的络腮胡子男人摄影图片

26.39万起售!新款特斯拉model y上市,外观有质感,内饰豪华_车家号_发

天が开き 原版高清谱

贴金太乙救苦天尊神像十二金仙神像塑像厂家寻声救苦天尊太乙真人神像

《山海经·西山经》:皋涂之山,有兽焉,其状如鹿而尾白,马足人手而四角