p> b>正割 /b>(secant,sec)是三角函数的一种.

高清图片下载 免费 安全无风险
p> b>正割 /b>(secant,sec)是三角函数的一种.

p> b>正割 /b>(secant,sec)是三角函数的一种.

点击图片查看原图

图片信息

  • 格式: JPG
  • 尺寸: 1436x934
  • 大小: 约1.2MB

版权声明

相关标签

自然风光 高清壁纸 4K画质

分享图片

相关推荐

基于当前图片的相似推荐

正割函数 y sec x y sec x 余割函数 y csc x y csc x

正割函数图像与性质

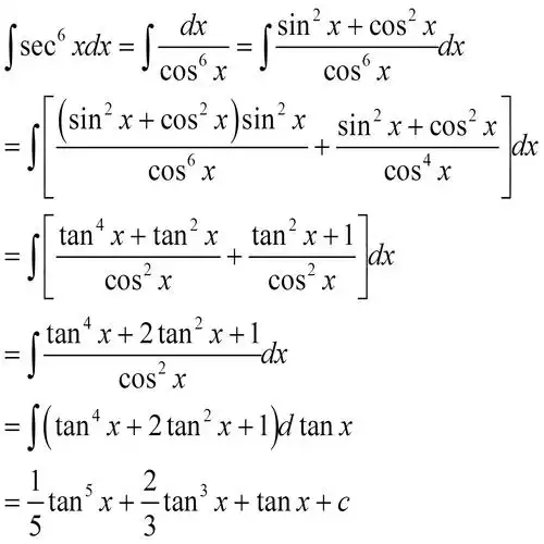
正割函数六次方的不积分怎么算?

[h1]拓展资料:[/h1]正割函数定义

正割函数 y sec x y sec x secx cosx 正割函数是以 为

数学 ch9三角学的基本知识2013ppt gct 角的量度: 角度制 二,三角函数

正割(secant,sec)是三角函数的一种.

三角函数的另外三个伙伴cotseccsc

正割函数 sec xy = sec x = 1 / cosn x,x∈( (–π/2)

正割 数函 y escx y se c x

正割函数六次方的不积分怎么算?

余切正割余割的图象和性质1

随机推荐

发现更多精彩图片

纸钞屋达利钥匙扣la casa de papel纸牌屋饰品挂包饰品硅胶挂件

唯美欧洲小镇自然风景,高清图片,电脑桌面-壁纸族

本文关键词:脸大的人适合什么发型,微胖女生适合什么发型,什么脸型

abab式成语 安排安排安静安静按摩按摩帮助帮助布置布置拨拉拨拉碧蓝

死兆星皇子原画曝光 斯维因变身驯龙高手

真中啦啦##美妙天堂真中啦啦

lovepu传谱相关歌谱:[简谱]快乐过家家[简谱]过家家(杨启舫词

安妮优儿女童古风汉服裙子襦裙2023新款夏季超仙儿童连衣裙女孩国风

张子枫香奈儿品牌形象大使