儿童拉丁舞

高清图片下载 免费 安全无风险
儿童拉丁舞

儿童拉丁舞

点击图片查看原图

图片信息

  • 格式: JPG
  • 尺寸: 480x480
  • 大小: 约1.2MB

版权声明

相关标签

自然风光 高清壁纸 4K画质

分享图片

相关推荐

基于当前图片的相似推荐

2019新款儿童拉丁舞裙夏季少儿拉丁服考级比赛服女童练功舞蹈服

拉丁舞比赛成人头饰

拉丁舞#少儿舞台妆#彩绘#南沙化妆 梳最干净的头发,跳最热爱的舞蹈

venny薇妮拉丁舞服女儿童分体规定高级定制女童拉丁舞演出服

新款儿童拉丁舞演出服少儿女童表演比赛舞蹈服装儿童演出服

薇妮拉丁舞连衣裙儿童性感专业比赛规定标准solo拉丁舞演出服

拉丁舞服装女童4-12岁中大儿童练功秋冬季表演服服流苏裙考级比赛演出

星辰丝绒质感合规规定舞服比赛儿童组女12岁拉丁舞练习套装

拉丁舞服装女童拉丁舞服儿童女新款连体服夏季演出表演少儿拉丁恰恰

拉丁舞比赛服女儿儿童规定专业艺考考级舞蹈表演拉丁舞演出服

新款夏儿童拉丁舞练功服女童舞蹈服装比赛演出服少儿拉丁舞服 黑色

随机推荐

发现更多精彩图片

全2本 楚辞 诗经 中华经典诵读教材中国传统文化畅销书籍古诗词鉴赏

青山绿水美如画是大自然的杰作,也是我们不断保护环境,来自大自 - 抖

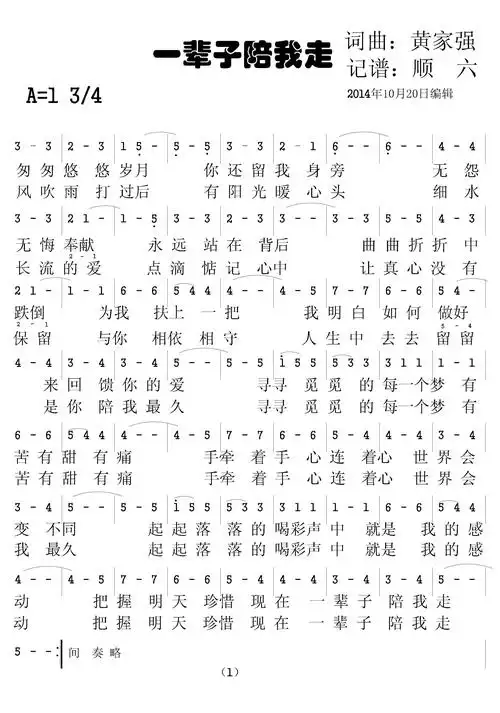
欢迎传谱,欢迎发布原创歌曲!请把本站分享到您的博客或微博中,谢谢!

皓恬《勇敢的心》演幸子 称于毅为"主人"引笑场

西方神话中最出名的十位堕落天使,除路西法外,你还知道谁

儿童趣味折纸之钢琴,想要一架吗?

林志玲,穿4年前结婚礼服出席活动,零赘肉好身材引网友激赞

旅行中忘记吉他谱-弹唱谱-c调-虫虫吉他

四,丰富多样的矿产资源 1,矿产资源丰富,不仅矿产种类多,而且有许多