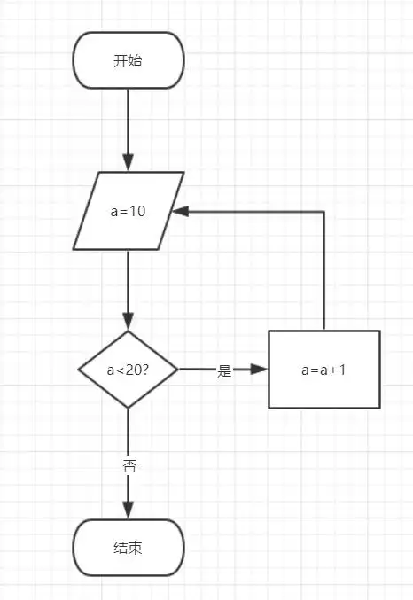
c语言输出菱形abcd的设计

高清图片下载 免费 安全无风险
c语言输出菱形abcd的设计

c语言输出菱形abcd的设计

点击图片查看原图

图片信息

  • 格式: JPG
  • 尺寸: 525x410
  • 大小: 约1.2MB

版权声明

相关标签

自然风光 高清壁纸 4K画质

分享图片

相关推荐

基于当前图片的相似推荐

流程图中的菱形代表什么?如何使用菱形符号 - 迅捷画图

工作流程图中菱形的作用

有谁会画c语言的流程图,第一副是要画的,后一副参考

流程图基本形状解析

java流程图表示输入 输出,用流程图描述算法 – 源码巴士

(最新版)基于c#职工信息管理系统的设计与实现毕业论文设计

c语言入门:打印菱形星号"*"图案

表示一个算法常用的方法有:自然语言,传统流程图,结构化流程图(n-s

【无机纳米材料科研制图——visio 0308】visio流程图模式绘制流程图

个人作业二举例分析流程图与活动图的区别与联系

流程图时,有各种各样的形状,有圆形,菱形,矩形等等,他们都代表什么

工作流程图用矩形框表示工作,箭线表示工作之间的逻辑关系,菱形框表示

随机推荐

发现更多精彩图片

发色分享 爱了,超显白的免漂亚麻冷棕色淡淡的色调高级感十足发色亚麻

彼岸花头像女生唯美图片 彼岸花系列冷酷女孩

让人无法抗拒的腹肌:易烊千玺

her majesty queen elizabeth ii,1926年4月21日—),现任英国女王, a

原创简约立体川味餐饮招牌门头设计-众图网

刘德华宋小宝合唱天意

长江之歌c调简单版双手简谱预览1

傅淼老公于小伟吗? 老公从小英国长大

设计师作品展示ppt模板 详细介绍:标签:作品集装修公司室内设计目录

吊兰,是一种寄生植物,叶子细长,枝干低垂,四季常青,种类很多,比如红