货架c型钢c型钢冷弯定做加工霆裕

高清图片下载 免费 安全无风险
货架c型钢c型钢冷弯定做加工霆裕

货架c型钢c型钢冷弯定做加工霆裕

点击图片查看原图

图片信息

  • 格式: JPG
  • 尺寸: 976x810
  • 大小: 约1.2MB

版权声明

相关标签

自然风光 高清壁纸 4K画质

分享图片

相关推荐

基于当前图片的相似推荐

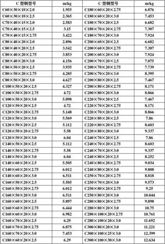
c型钢基本尺寸及主要参数

c型钢理论重量表37870

文档下载 所有分类 > c型钢理论重量表注:本表规格不全,可以根据工程

文档下载 所有分类 > c型钢理论重量表注:本表规格不全,可以根据工程

随机推荐

发现更多精彩图片

金发小狐狸.#一起学画画 #q版人物 #马克笔手绘 #漫画女 - 抖音

原创如果魔道祖师是言情大女主文那它是这个样子的

吉祥三宝(2006年春节晚会歌曲)简谱图片

两只老虎吉他谱简单弹唱谱单音指弹独奏谱

生活研究所|小编带你畅游霞山快餐之五谷渔粉-湛江吃喝玩乐-大众点评

节后上班第一天,荆州高新区召开重要会议

2018-08-01 鹰潭上清宫路步行街

孩子怎么样安全上网