肖战陈飞宇同款西装造型

高清图片下载 免费 安全无风险
肖战陈飞宇同款西装造型

肖战陈飞宇同款西装造型

点击图片查看原图

图片信息

  • 格式: JPG
  • 尺寸: 690x920
  • 大小: 约1.2MB

版权声明

相关标签

自然风光 高清壁纸 4K画质

分享图片

相关推荐

基于当前图片的相似推荐

微博盛典后场看点,肖战陈飞宇罕见同框,全程无交流气氛尴尬_杨超_白宇

陈飞宇x肖战|宁缺x魏无羡|肖肖宇歇|九万字_哔哩哔哩_bilibili

网友制作的陈飞宇与罗云熙和肖战的动图!哈哈,不得不说太损了!

陈飞宇单看并不出彩,没想到和肖战同框,他竟然赢了.

【陈飞宇x肖战】肖肖宇歇 | 宁缺x魏无羡 | 一眼确定终身 是否太过

逍遥 | 肖战x陈飞宇 | 一壶浊酒把梦醉倒

有网友说陈飞宇直播间看到了肖战?怎么可能呢?

陈飞宇跟肖战什么关系

肖战发呆,陈飞宇满脸不屑,两人同框满脸写着不熟

肖战发呆,陈飞宇满脸不屑,两人同框满脸写着不熟

视界大会,男明星活动生图.#肖战 #王鹤棣 #陈飞宇 #檀健 - 抖音

今晚活动造型来看肖战王鹤棣陈飞宇生图

随机推荐

发现更多精彩图片

【乐至县贵州菜|黔菜】推荐,贵州菜|黔菜排行/大全/攻略-大众点评网

潘粤明释然了,董洁又美回来了,9岁儿子顶顶,很开心!_妈妈_爸爸_成长

土蜂蜜 自养自产纯天然无添加任何东西

角色中文名妮可罗宾

神秘人斗酒僧,到底是段誉还是虚竹?

短道速滑中国短道速滑队亮相首体

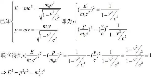
默认你已经知道相对论的两个重要结论(均可以用理论推导) 1,质能方程

新课标人教版一年级下册_识字3课件ppt

唐三和小舞的爱情羡慕吗?

"毛毛虫"越来越多,原本黑色的卵变成了白色的空壳

lutens芦丹氏柏林少女叛逆的暗黑哥特少女

现代极简风格四居室衣柜装修效果图