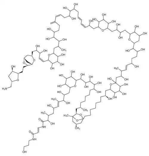
id=20211014093527雪卡毒素,又称西加毒素,与鱼刺尾鱼毒素相似,也是

高清图片下载 免费 安全无风险
id=20211014093527雪卡毒素,又称西加毒素,与鱼刺尾鱼毒素相似,也是

id=20211014093527雪卡毒素,又称西加毒素,与鱼刺尾鱼毒素相似,也是

点击图片查看原图

图片信息

  • 格式: JPG
  • 尺寸: 720x405
  • 大小: 约1.2MB

版权声明

相关标签

自然风光 高清壁纸 4K画质

分享图片

相关推荐

基于当前图片的相似推荐

手性中心繁多的有机分子,例如岩沙海葵毒素和刺尾鱼毒素

id=20211014093527雪卡毒素,又称西加毒素,与鱼刺尾鱼毒素相似,也是

而刺尾鱼毒素是天然毒素中最强的一种,大约是黄金箭毒蛙的1/10,主要会

刺尾鱼水族箱里的吊类鱼为什么会有攻击行为

日本刺尾鱼原产自太平洋西部带有手术刀般的尖刺

刺尾鱼毒素——天然毒素"王中王"

这个是白面刺尾鱼还是七彩吊

随机推荐

发现更多精彩图片

如果只能用三个字来评价自己的爱情或婚姻,我想到的会是"我爱你"!

🎬 琅琊榜:学会心胸开阔的智慧箴言 🌟

旋流沉砂池设计计算

插画动漫口袋妖怪id41317981xy的御三家

北方常用植物--3花灌木.doc

最新青岛地铁规划线路大变动你家会成地铁房吗

阳光幼儿园中班暑假画画案例

长安星光4500货运版5座,又是轻型封闭货车,c1c3照能开如果是自动档,c2

2《从微观结构看物质的多样性》----同分异构现象

话说华为真的不打算把内置主题做好看点?

某别墅手绘方案_cad图纸下载-土木在线

看图识数,并用手指表示出来