周韵的高级气质全靠修图才40岁脸有了皱纹也没逃过中年发福

高清图片下载 免费 安全无风险
周韵的高级气质全靠修图才40岁脸有了皱纹也没逃过中年发福

周韵的高级气质全靠修图才40岁脸有了皱纹也没逃过中年发福

点击图片查看原图

图片信息

  • 格式: JPG
  • 尺寸: 733x1100
  • 大小: 约1.2MB

版权声明

相关标签

自然风光 高清壁纸 4K画质

分享图片

相关推荐

基于当前图片的相似推荐

周韵的穿搭之道:如何用小众品牌和基础单品展现迷人的女神气质

15岁参加选美获得冠军,柔美和大气于一身,盘点周韵的容貌变化

周韵的气质感真不是吹的穿黑色流苏裙温婉优雅藏不住的高级感

周韵"原装脸"真耐老,穿一身黑也盖不住优雅,与姜文同框似父女

姜文老婆周韵很厉害的姜文老婆周韵的照片

周韵41岁嫁给大她15岁的姜文,演艺事业登高峰,让人羡慕

周韵:嫁二婚姜文成后妈,被继女厌婆婆嫌,18年后却成全家团宠

周韵40岁天天活在美颜相机里

姜文"金屋藏娇"娶了小15岁娇妻,周韵容颜甜美长得真诱人(图)

【转载】姜文的娇妻周韵

周韵戴奢华美翠,美艳又迷人!为什么翡翠总是深受明星的喜爱呢?

周韵出身于温州一个比较富裕的家庭,射手座的她热爱自由,潇洒和叛逆.

随机推荐

发现更多精彩图片

天外来客撞击地球恐怖也令人窒息

美女超大胆写真诱人

动漫女生头像超梦幻太美了

绘画参考单人姿势参考线稿

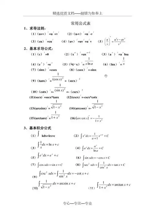
常用求导公式表共2页

西藏萨迦派宗教领袖萨迦班智达与蒙古汗国皇子,西路军统帅阔端会见

无缝的线条的图案几何条纹的背景矢量图良好的品质好的设计

在蜡烛上燃烧火焰用于2d动画插画下载

驾驶员|三轮车|摩托车_网易订阅

钢琴谱巴赫二部创意曲