小桥,流水,青山,唯春色与你不可辜负#唯美古风壁纸 #二次元 - 抖音

高清图片下载 免费 安全无风险
小桥,流水,青山,唯春色与你不可辜负#唯美古风壁纸 #二次元 - 抖音

小桥,流水,青山,唯春色与你不可辜负#唯美古风壁纸 #二次元 - 抖音

点击图片查看原图

图片信息

  • 格式: JPG
  • 尺寸: 1440x2880
  • 大小: 约1.2MB

版权声明

相关标签

自然风光 高清壁纸 4K画质

分享图片

相关推荐

基于当前图片的相似推荐

古风#二次元 #唯美意境 #古风 #图文伙伴计划 #ai - 抖音

古风 #动漫美图 #国风古韵 #古装仙女插画图集 #二次元 - 抖音

今天没有文案,只有你#二次元原创 #ai绘画 #唯美古风壁纸 - 抖音

古风 二次元 图源pixiv

竖屏唯美古风壁纸ai绘画图集动漫卡通二次元手机高清壁纸cg

竖屏唯美古风壁纸ai绘画图集动漫卡通二次元手机高清壁纸cg

竖屏唯美古风壁纸ai绘画图集动漫卡通二次元手机高清壁纸cg

冶容多姿鬓,芳香已盈路.#二次元少女 #唯美古风壁 - 抖音

随机推荐

发现更多精彩图片

郭晓婷狐妖小红娘新造型路透##郭晓婷狐妖小红娘蓝衣造型路透

图文:《虎妈》首次探班 程皓枫演绎"霹雳二世祖"

达戈私人泳池皮纳斯别墅酒店 - cimenyan

海底捞火锅(中央商场店)

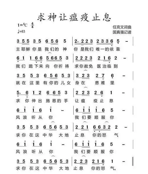
「赞美诗」求神让瘟疫止息

晚清~民国时期黄釉堆塑罐

虫儿飞 c调 简易版钢琴谱-虫虫钢琴

【粤剧】梦断香销四十年 5/5_罗家宝,曹秀琴_高音质在线试听_【粤剧】

浙江宁波奉化蒋氏故居

化学实验室,玻璃器皿试管