三关鸽王x奶酪

高清图片下载 免费 安全无风险
三关鸽王x奶酪

三关鸽王x奶酪

点击图片查看原图

图片信息

  • 格式: JPG
  • 尺寸: 2460x3450
  • 大小: 约1.2MB

版权声明

相关标签

自然风光 高清壁纸 4K画质

分享图片

相关推荐

基于当前图片的相似推荐

葛斯顿范德瓦尔奶酪小子240x098_牡丹江壹号鸽舍_ ag188.

奶酪698直子_辽宁壹号鸽舍-中信网爱鸽商城

奶酪698直子 - 中国远洋鸽业

奶酪"698"直女_济南龙翔鸽业_ag188.com爱鸽商城_中信网

世界大铭鸽奶酪小子

奶酪小子直孙女_大安翔云鸽舍_ ag188.com爱鸽商城_中国信鸽信息网

奶酪家族 - 大浩鸽业

【奶酪原舍】240直女_悦翔团队_ ag188.com爱鸽商城_中国信鸽信息网

随机推荐

发现更多精彩图片

赵丽颖首次晒与儿子照片母子俩亲密贴贴

299_143gif 动态图 动图

有没有半藏森林好看的照片?

edg.viper冠军皮肤 厄斐琉斯

预算5000如何选投影仪极米h3当贝f3实拍比较

沂水大峡谷(沂水大峡谷景区门票)

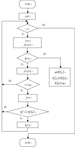
冒泡排序的流程图为

实验中学举行星级宿舍评选活动

清代诗词铜墨盒近墨者赤近墨者黑品相如图所示

眉间白火的臆造自d之模仿大师

蝙蝠女高清壁纸1600x900分辨率查看

垃圾桶设计素材专辑145p