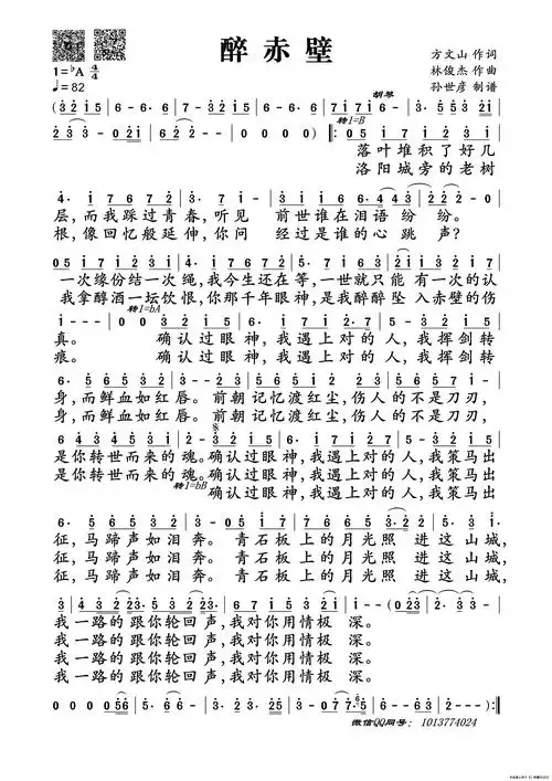
醉赤壁智能简谱演唱林俊杰

高清图片下载 免费 安全无风险
醉赤壁智能简谱演唱林俊杰

醉赤壁智能简谱演唱林俊杰

点击图片查看原图

图片信息

  • 格式: JPG
  • 尺寸: 1140x1611
  • 大小: 约1.2MB

版权声明

相关标签

自然风光 高清壁纸 4K画质

分享图片

相关推荐

基于当前图片的相似推荐

醉赤壁_林俊杰_降a调 _流行钢琴双手简谱_钢琴谱|钢琴五线谱|钢琴简谱

醉赤壁简谱 林俊杰 一首穿越时空的缠绵情歌

林俊杰醉赤壁钢琴简谱78

钢琴谱:醉赤壁(林俊杰)

《醉赤壁》林俊杰(c调不变调版)钢琴谱-虫虫钢琴

醉赤壁钢琴谱-林俊杰-2008赤壁on line game主题曲1

醉赤壁智能简谱演唱林俊杰

醉赤壁-2008赤壁on line game主题曲(简谱 需改编) - 简谱 - 古筝网

林俊杰jjlin醉赤壁talesoftheredcliff完整演奏版内含原ab调和转g调

随机推荐

发现更多精彩图片

秦岚苏有朋的电视剧

二年级语文下册第四单元造句仿写句子

黄晓明蒋欣电视剧《潜行者》危机四伏,请君观看

女生头像模糊感女头78

joinin小学英语六年级上学期期末复习题词汇

可米小子《青春纪念册》,来自周六的歌

宝宝身上的黑痣会变大?出现这三种情况需注意!

埃尔法 埃尔法30系气动避震低趴#alphard埃尔法改装 - 抖音

篮子里画着漂亮的鸡蛋

沈尹默草书李白梦游天姥吟留别