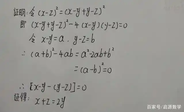
数学之初中二次函数解题思路之整体思维思想

高清图片下载 免费 安全无风险
数学之初中二次函数解题思路之整体思维思想

数学之初中二次函数解题思路之整体思维思想

点击图片查看原图

图片信息

  • 格式: JPG
  • 尺寸: 1080x1071
  • 大小: 约1.2MB

版权声明

相关标签

自然风光 高清壁纸 4K画质

分享图片

相关推荐

基于当前图片的相似推荐

65.高考数学专题32 数列大题解题模板(理)(原卷版).doc

数学题,初三,速求解题过程.

三年级数学试卷解题过程

解方程归纳总结.五年级解方程类型题总结#数学解题技巧 同款题 - 抖音

初中数学双解题,第19题求解

高中数学:经典例题(超详细)解题步骤,高中都用得上的提分集锦

高等数学 解题步骤.doc 15页

初中数学解题规律方法与技巧代数平面几何巧妙的解题思路初中通用

问一下图上这个高中数学题详细的解题过程

这道江苏省初中数学竞赛题,解题思路很简单,但就是不容易想出来

就这道题的详细解题过程数学的数学

求解 高二数学题 第10题 求解题过程

随机推荐

发现更多精彩图片

黎明罕见携妻女露面,小21岁助理老婆长相普通但气质清纯_wing_造型

结婚钻戒-求婚钻戒- 蒂芙尼官网 | tiffany & co.

【贺峻霖】以后多多露额头吧好港好帅

山西五台山台怀镇跨年迎新——大宝寺,文殊洞,五爷庙,黛螺顶

晴耕雨读【篆刻与散文】《原创》

刺青不问三九我可太爱看老男人的爱情了

斗图表情包 - 斗图神器 - adoutu.com

工业级重型台虎钳家用6寸台钳工作台平口钳多功能360度旋转桌虎钳5寸

小公主儿童房又是羡慕女儿的一天

房产经纪人置业顾问