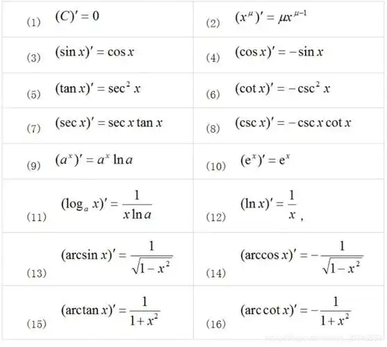
基本初等函数求导公式

高清图片下载 免费 安全无风险
基本初等函数求导公式

基本初等函数求导公式

点击图片查看原图

图片信息

  • 格式: JPG
  • 尺寸: 920x1302
  • 大小: 约1.2MB

版权声明

相关标签

自然风光 高清壁纸 4K画质

分享图片

相关推荐

基于当前图片的相似推荐

一基本初等函数求导公式

高数|6道题拿下复合函数求导!背牢公式.#高数 #高等数学 - 抖音

常用求导公式表共2页

12个基本初等函数的导数公式

2《基本初等函数的导数公式及导数的运算法则》教案13-新人教a版选修2

的比如是正弦函数推算出余弦函数的过程…… 回答 题目不是说求导么

2020部队专升本科学基础高数-第二章导数:基本求导公式

机器学习算法23数学求导常见函数的导数导数的四则运算矩阵向量求导

求导公式都是由这个公式引出来的包括幂函数指数函数对数函数三角函数

基本初等函数求导公式doc2页

随机推荐

发现更多精彩图片

奢侈品标志,你知道多少?

汉服闺蜜照#汉服 ####汉服摄影 #古风写真 #汉服美人图鉴 #少女

王一博!你到底有多少劳力士?|腕表|百达翡丽|手表|保罗_网易订阅

【恶作剧之吻2】恋爱名场面_哔哩哔哩_bilibili

砖墙墙身如何制作防潮层防潮层做法有哪些具体内容

由美头网整理发布,女生头像频道提供更多与头像女生,可爱,萌萌,真人

有用摘要由作者通过智能技术生成现代数字艺术中,抽象手机壁纸以其

都江堰宝瓶口晚霞 - love斌 - 图虫

某天成为王的女儿:孤傲霸气如他,原来儿时如此的悲惨