行研摘要对绿色甲醇发展情况的简单梳理

高清图片下载 免费 安全无风险
行研摘要对绿色甲醇发展情况的简单梳理

行研摘要对绿色甲醇发展情况的简单梳理

点击图片查看原图

图片信息

  • 格式: JPG
  • 尺寸: 678x430
  • 大小: 约1.2MB

版权声明

相关标签

自然风光 高清壁纸 4K画质

分享图片

相关推荐

基于当前图片的相似推荐

阿法拉伐云签单为中国首艘燃用甲醇化学品船提供甲醇供应系统

甲醇分子的结构化学式和模型

甲醇期货在哪个交易所上市甲醇期货交易代码

二甲基乙基甲醇-化学物质-专业词典

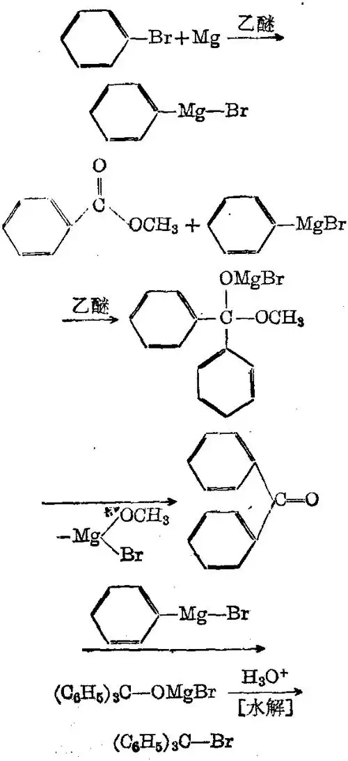
三苯甲醇-化学词典-专业词典

芴甲醇合成方法的改进

甲烷的电子式 甲烷的结构式 甲烷分子结 构示意图

用钢笔手绘甲醇的化学式

燃烧效果怎样 15 2009-09-25 甲醇在氧气中燃烧的化学式 24 2008-12

企业库存压力大甲醇逢低可考虑作为多配品种

随机推荐

发现更多精彩图片

现中国最美的女人是谁,我很好奇,中国最漂亮的女明星到底是谁

也曾千人千面,41岁打上了精英标签,让观众产生疲劳_靳东_剧照_角色

骨干教师研修班将于2017年8月1518日在青岛举办

央视新闻美女主持王端端直播公然落泪引争议45岁婚姻状态成谜

泰国新年宋干节当红女明星baifern吕爱惠成为泼水节女神

罗布泊硫酸钾镁肥 颗粒硫酸钾镁肥价格 硫酸钾镁肥的作用

家庭温馨简笔画模板

山东拉面哥被网红恶意蹭热度 抖音严打过度消费当事

青光眼的早期症状图片_有来医生

阳台隔断门怎么装才好看?当下流行的都在这了!